Dubli Stock Price - Previous session one month one year jan 1st. 31 rows get ominto inc historical price data for omnt stock.
Page 3 - Uny High Resolution Stock Photography And Images - Alamy
Here at behindmlm we’ve been loosely tracking dubli’s financial affairs.

Dubli stock price. Common stock — stock price and discussion | stocktwits. Dubli.com allows customers to earn cash back from the same stores where they typically shop. Ominto is a pioneer in global cash back and first to market in many….
(otc.pk.dubl) is public company in the united states and was founded in 2003 and is headquartered in fort lauderdale, florida. As of may 2017, dubli’s quarterly filings revealed losses of just under $7 million. View omnt's stock price, price target, earnings, forecast, insider trades, and news at marketbeat.
All facts suggest dubli's business model is an illegal operation. Stock quote, stock chart, quotes, analysis, advice, financials and news for share ominto inc | nasdaq: The morningstar category is shown next to the morningstar style box which identifies a fund's investment focus, based on the underlying securities in the fund.
The company owns or invests in strategic entities that provide value to its global customer base. Maximizing customer experience is at the heart of everything we do. Despite these facts, the equity is still valued at $70mm.
Customers may register for free or participate in dubli.com’s vip rewards, a $49 annual or $4.99 per month membership, which provides additional value for members including exclusive deals, extra cash back and faster payout of available cash back. Your leading global cash back, coupons and deals site. Our last report was published in december 2016 and detailed annual losses for the year of $10.3 million.
Investing.com has all the historical. Stock price | us26362x1046 | marketscreener. All derived (stocks, indexes, futures), cryptocurrencies, and forex prices are not provided by exchanges but rather by market makers, and so prices may not be accurate and may differ from the.
The irish stock exchange plc, now trading as. Dubli has emerged as a leading provider of innovative travel, shopping, and entertainment solutions to consumers in more than 100 countries. Common stock nasdaq updated sep 13, 2018 2:47 pm.
Company profile page for bank of ireland including stock price, company news, press releases, executives, board members, and contact information
Flag Of Dublin Is The Capital And Largest City Of Ireland Stock Image - Image Of Cloth Irish 131894935
Loop The Wreck Shop
Is Dubli A Scam Or Real - Quora
Dubli Review Recruitment And E-commerce
Dubli Review Recruitment And E-commerce
Lentil Or Dal Nittobazar
The Bernard Shaw Restaurant In Dublin Editorial Stock Image - Image Of Bernard Shaw 196674984
Page 9 - Fisher Price High Resolution Stock Photography And Images - Alamy
Vintage 16mm Film 1952 Dublin City Rotunda Hospital And Traffic Sequence Stock Footage Ad Filmdublinvintagemm Dublin City Dublin Film
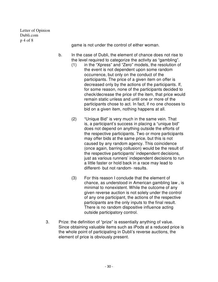
Dubli Pdf Booklet
Dubli Pdf Booklet
Dubli Pdf Booklet
Charles Stewart Parnell Monument Dublin Editorial Stock Photo - Image Of Stewart Gaudens 146841413
Dubli Pdf Booklet









